教学目的:熟练掌握二重积分的计算方法
教学重点:利用直角坐标和极坐标计算二重积分
教学难点:化二重积分为二次积分的定限问题
教学内容:
利用二重积分的定义来计算二重积分显然是不实际的,二重积分的计算是通过两个定积分的计算(即二次积分)来实现的.
我们用几何观点来讨论二重积分
的计算问题.
讨论中,我们假定
;
假定积分区域
可用不等式
表示,
其中
,
在
上连续.

据二重积分的几何意义可知,
的值等于以
为底,以曲面
为顶的曲顶柱体的体积.

在区间
上任意取定一个点
,作平行于
面的平面
,这平面截曲顶柱体所得截面是一个以区间
为底,曲线
为曲边的曲边梯形,其面积为

一般地,过区间
上任一点
且平行于
面的平面截曲顶柱体所得截面的面积为

利用计算平行截面面积为已知的立体之体积的方法,该曲顶柱体的体积为

从而有
(1)
上述积分叫做先对Y,后对X的二次积分,即先把
看作常数,
只看作
的函数,对
计算从
到
的定积分,然后把所得的结果( 它是
的函数 )再对
从
到
计算定积分.
这个先对
, 后对
的二次积分也常记作

在上述讨论中,假定了
,利用二重积分的几何意义,导出了二重积分的计算公式(1).但实际上,公式(1)并不受此条件限制,对一般的
(在
上连续),公式(1)总是成立的.
例如:计算 ![]()
解: 

类似地,如果积分区域
可以用下述不等式
![]()
表示,且函数
,
在
上连续,
在
上连续,则
(2)

显然,(2)式是先对
,后对
的二次积分.
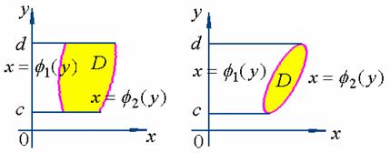
二重积分化二次积分时应注意的问题
1、积分区域的形状
前面所画的两类积分区域的形状具有一个共同点:
对于I型(或II型)区域, 用平行于
轴(
轴
)的直线穿过区域内部,直线与区域的边界相交不多于两点.
如果积分区域不满足这一条件时,可对区域进行剖分,化归为I型(或II型)区域的并集.
2、积分限的确定
二重积分化二次积分, 确定两个定积分的限是关键.这里,我们介绍配置二
次积分限的方法
-- 几何法.画出积分区域
的图形(假设的图形如下 )

在
上任取一点
,过
作平行于
轴的直线,该直线穿过区域
,与区域
的边界有两个交点
与
,这里的
、
就是将
,看作常数而对
积分时的下限和上限;又因
是在区间
上任意取的,所以再将
看作变量而对
积分时,积分的下限为
、上限为
.
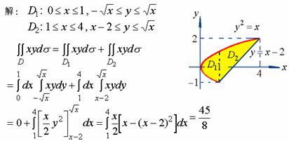
例1计算
,其中
是由
轴,
轴和抛物线
在第一象限内所围成的区域.

类似地, ![]()


例2计算
, 其中
是由抛物线
及直线
所围成的区域.

![]()


例3求由曲面
及
所围成的立体的体积.
解: 1、作出该立体的简图, 并确定它在
面上的投影区域

消去变量
得一垂直于
面的柱面
,立体镶嵌在其中,立体在
面的投影区域就是该柱面在
面上所围成的区域
![]()
2、列出体积计算的表达式
![]()
3、配置积分限, 化二重积分为二次积分并作定积分计算

![]()
而 ![]()
由
,
的对称性有 




![]()
所求立体的体积为
![]()
1、变换公式
按照二重积分的定义有


现研究这一和式极限在极坐标中的形式.
用以极点
为中心的一族同心圆
以及从极点出发的一族射线
,将
剖分成个小闭区域.
除了包含边界点的一些小闭区域外,小闭区域
的面积可如下计算
![]()
![]()
其中,
表示相邻两圆弧半径的平均值.
(数学上可以证明: 包含边界点的那些小闭区域所对应项之和的极限为零, 因此, 这样的一些小区域可以略去不计)
在小区域
上取点
,设该点直角坐标为
,据直角坐标与极坐标的关系有
![]()
于是

即
![]()
由于
也常记作
, 因此,上述变换公式也可以写成更富有启发性的形式
(1)
(1)式称之为二重积分由直角坐标变量变换成极坐标变量的变换公式,其中,
就是极坐标中的面积元素.
(1)式的记忆方法:

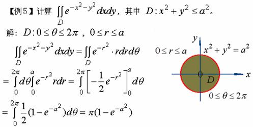
2、极坐标下的二重积分计算法
极坐标系中的二重积分, 同样可以化归为二次积分来计算.
【情形一】积分区域
可表示成下述形式
![]()
其中函数
,
在
上连续.

则 
【情形二】积分区域
为下述形式

显然,这只是情形一的特殊形式
( 即极点在积分区域的边界上 ).
故 
【情形三】积分区域
为下述形式

显然,这类区域又是情形二的一种变形( 极点包围在积分区域
的内部 ),
可剖分成
与
,而
![]()
故 ![]()
则 
由上面的讨论不难发现, 将二重积分化为极坐标形式进行计算, 其关键之处在于: 将积分区域
用极坐标变量
表示成如下形式
![]()
下面通过例子来介绍如何将区域用极坐标变量来表示.
例4将下列区域用极坐标变量表示
1、![]()
2、![]()
![]()
Ê先画出区域的简图, 据图确定极角的最大变化范围
;
Ë再过
内任一点
作射线穿过区域,与区域的边界有两交点,将它们用极坐标表示,这样就得到了极径的变化范围
.





注: 本题不能利用直角坐标下二重积分计算法来求其精确值.
利用此题结果可求出著名概率积分
.

而被积函数满足
,从而以下不等式
成立,再利用例二的结果有
,
,


于是不等式可改写成下述形式

故当
时有
,
即
.
3、使用极坐标变换计算二重积分的原则
(1)、积分区域的边界曲线易于用极坐标方程表示( 含圆弧,直线段 );
(2)、被积函数表示式用极坐标变量表示较简单( 含
,
为实数
).
例6计算
解此积分区域为
![]()
区域的简图为

该区域在极坐标下的表示形式为
![]()


小结 二重积分计算公式
直角坐标系下
X—型
Y—型
极坐标系下 ![]()
作业 教材
161 习题2(I)(2)(3)3(1)(3)4(2)(4)